想象你正在一片平滑的丘陵地带徒步行走。这片丘陵地带就是你的“空间”。在任何一点,你都可以朝某个方向前进。但我们暂且忘掉将它嵌入到三维空间的概念,只专注于脚下的地面——这里没有“向上”或“向下”的方向。

现在假设,在这片表面的每一个点,都被赋予了一个温度值。你在丘陵上越高,温度就越高。需要注意的是,温度只是一个实数,它并不带有任何方向属性。
这就是所谓的标量函数(scalar function),我们用 t 来表示它。在这种情况下,你站在某一点,环顾四周。此时,你所在的点有一个温度值,比如说 80摄氏度。你能测量什么呢?如果给你指定了一个方向,你可以沿着这个方向迈出很小的一步。这个细小的位移可以用一个向量来表示,但它本身并没有告诉你环境中发生了什么变化。
还要注意,这个向量不能像在三维空间中那样“从地面上伸出来”,因为这里不存在外部的环境空间。同样,我们也不能简单地画出它在地面上的“影子”,因为向量并不会那样弯曲。这个向量实际上生活在一个完全不同的空间——它叫作切空间(tangent space)。如果我们把丘陵景观称为 M(代表流形,manifold),那么基于点 p 的向量 V 就属于该点的切空间 ,

这是专属于该点的空间。
想想普通的导数是做什么的。它测量的是某个量(比如温度)相对于另一个量(比如距离)的变化率,但通常只是在沿着一条直线移动时(一般是 x-轴方向)。例如,如果你向东走,导数可以告诉你每走一米,温度变化的快慢。但它只适用于一个特定方向,而不是所有方向。
但是,如果我们能把向量的方向性描述和标量场变化率的追踪能力结合起来,不是很好吗?这就是方向导数(directional derivative)所做的事情。它需要同时指定一个标量场和一个方向,并返回一个数值,比如“你正朝着所选方向前进,温度以每米 30摄氏度的速度上升”。
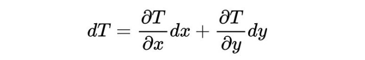
方向导数通常这样表示:

它的含义是:标量函数 t 沿着向量 v 方向的变化率,就是把向量 v 输入到一阶微分形式 dT 中得到的结果。
那么,什么是一阶微分形式(one-form)呢?
一阶微分形式是一个数学对象,它“吃掉”一个向量(即一个方向),并返回一个实数。

但要强调的是,dT 本身(在没有附加任何向量时)并不是一个实数,它更像是一个映射或一个“机器”,它接收一个方向,并告诉你函数 t 沿着该方向的变化情况——这就是一阶微分形式。
注意,这并不意味着“一阶微分形式”和“方向导数”是同一个东西,而是说它们关系密切。更准确地说,一阶微分形式是方向导数的推广。方向导数是当你选择了一个标量函数 t、一个点 p、以及一个方向 v 时得到的具体数值——即“当我从 p 出发,沿 v 方向移动时,t 如何变化”的答案。它是一个数字。而 dT 这个一阶微分形式,则是在还没选择方向之前就存在于流形上每一个点的对象,它可以接受任何方向并告诉你函数在该方向上的变化情况。

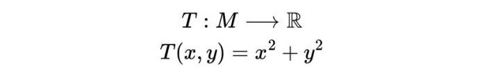
我们来看一个具体例子。设一个标量场

其中 M 是一个二维流形(即一片曲面)。这个函数给出曲面上每个点的温度。

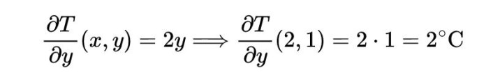
取一点 P=(2,1),此时温度是 5。
如果只沿 x 方向移动,会发生什么?——我们计算得出,每沿着东边走 1 个单位,温度增加 4。

如果只沿 y 方向移动,同样的逻辑告诉我们,每沿北边走 1 个单位,温度增加 2。

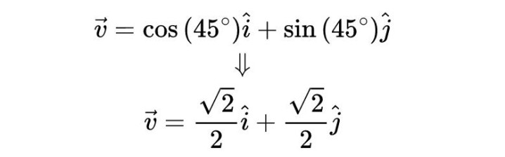
这都很好,但如果是沿着东北 45° 方向走呢?我们需要定义一个向量 v 来编码这个方向。
实际上,这里直接用普通微积分中的 i和 j 基向量来写v是没有意义的,

因为我们假设的流形 M 是抽象的——它可能是弯曲的,并且没有嵌入到更高维空间中。因此,切向量 v 不能“从流形中伸出来”,它必须生活在该点的切空间 中。
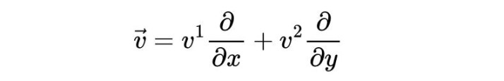
因此,我们需要在每个点引入一对新的基向量,能够张成该点的整个切空间 ,使得任何切向量 V 都能写成它们的线性组合。
在微分几何中,由于没有全局的外部空间,我们把切向量定义为导算子(derivations)。这是一个很难掌握的概念,也是很多人在学习微分形式时最困惑的地方之一,所以请特别注意。与其把向量定义为空间中的一个方向,我们不如用它“做什么”来定义它——切向量告诉我们某个函数在一点是如何变化的,而这正是“导算子”在做的事情。目标是完全用内在的性质来刻画它。微分算子 ∂x 就是这样一个例子,它接受一个函数 f,并返回它在 x 方向上的变化率。
因此,在这种情境下,向量 v 可以表示为 ∂x与 ∂y的线性组合。

这里的 ∂x、∂y 不仅是微分算子,同时在数学意义上也被视为向量。更准确地说,{∂x,∂y} 构成了切空间 的基,因此你脑海中应该有这样一幅图景:在抽象、弯曲的空间中,向量本身就是作用于函数的微分算子。
回到例子,我们可以将一阶微分形式 dt 作用在由这个向量表示的对角方向上。记住,一阶微分形式是一个把向量映射为实数的对象。
由于向量 v 是一个算子,我们可以让它作用在标量函数 t 上,而这实际上正是方向导数的定义。因此,我们也可以用“一阶微分形式作用在向量 v”的结果来表达它。
那么,问题来了:在作用到向量 v 之前,dT 长什么样呢?试试这样写:

结果证明,这个形式的 dt 完全可行。
不过,要确认这个 dT 表达式正确,我们需要假设:

并且

为什么这成立呢?我们知道 ∂x,∂y是流形上点 p 的切空间的基。那么 dx 和 dy 又是什么呢?

它们是协向量(co-vectors),也是一阶微分形式。事实上,协向量和一阶微分形式是同一个概念,只是在线性代数语境下我们更常用“协向量”这个词。
简单给个印象:当你有基向量 e1,e2(下标表示),无论它们是否正交,都可以找到一些数学对象,记作 e^1, e^2(上标表示),使得 e_1 与 e^2 垂直,反之亦然,但不与自己的对应对象垂直。

用更紧凑的方式表示,这种关系可以写成

其中 δij 是克罗内克 δ(Kronecker delta),也就是单位矩阵的分量。
在这里,∂x 与 dy 垂直,依此类推,把它们当作基向量和基协向量时,这些关系就成立——严格意义上,它们的乘积结果要么是 1,要么是 0。

因此,dx 和 dy 构成了一个与切空间对偶的空间的基,这个对偶空间叫作余切空间(cotangent space),记作


几何上它看起来并不是这样——我们这里的图示只是线性代数关系的视觉表示。在微分几何中,dx 和 dy 被称为一阶微分形式,因此它们作用在向量 v 上会返回一个标量。对于 dx,这个标量恰好是函数 x(即 f(x)=x)在向量 v 方向上的方向导数;对于 dy,同理成立。

所以,一阶微分形式 dx 和 dy 就像一种“过滤器”,能提取向量的 x 分量和 y 分量。例如,当 dx 作用在向量 v 上时,得到的就是 v 在 x 方向上的投影大小;dy 也是类似的道理。
微分形式在非常抽象、弯曲的空间中特别有用,因为它们不依赖外部空间、坐标,甚至不依赖度量(距离的精确定义)。它们不把几何对象描述成空间里的箭头,而是描述标量函数是如何变化的。它们作用在向量上,提取变化率、通量、方向等量,而且完全是空间的内在性质。这就是为什么它们特别适合研究流形——即便局部区域是扭曲的、弯曲的或拉伸的,即便不存在全局坐标,它们依然适用。

总结一下,符号 ∂x,∂y 表示流形上一点 p 的切空间的基向量,它们描述的是流形内在的 x、y 坐标方向的运动;它们的对偶 dx,dy 构成余切空间 的基——这个空间由线性泛函组成,也叫一阶微分形式,它们作用在切向量上。
这种对偶配对(dual pairing)就是我们能够写出并计算几何量的原因。一个向量 v 表示为基向量的线性组合,而一个一阶微分形式(比如 dt)则表示为 dx,dy 的线性组合。

当我们将一阶微分形式作用在向量上时,结果是一个标量——一个可测量的量,比如变化率,它反映了向量在一阶微分形式所给方向上的分量。
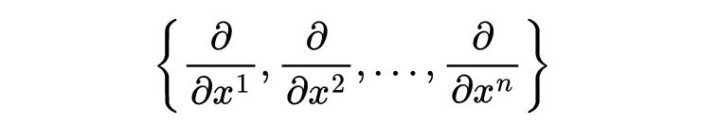
在进入二阶微分形式(two-forms)之前,我们先把“一阶微分形式”推广到任意有限维流形的情形。切空间的维数与流形的维数相同,设为 n。

切空间的基是

简写为

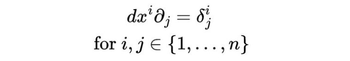
它的对偶空间(即余切空间)是点 p 上的一阶微分形式构成的空间,维数同样是 n,基是

根据对偶基的定义,这种关系必须始终成立:

那么,在这个抽象流形 M 上,一阶微分形式到底是什么?一阶微分形式(常记作 ω_p)是一个映射,它在流形的每个点 P 上,都给出一个线性映射。

用坐标表示时,任意一阶微分形式都可以写成

其中 a_i 是流形上的光滑函数。
二阶微分形式
我们现在可以进入二阶微分形式了。二阶微分形式是一个函数,它接受两个向量,返回一个数。

不过,这里有一个重要的性质:输入向量的顺序很重要。

这个性质叫反对称性(antisymmetry)。

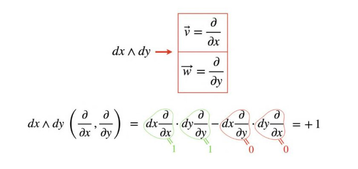
为了深入理解它,想象在点 p 有两个向量 v 和 w,它们形成一个小平行四边形。

当一个二阶微分形式 ω(比如可以写成 dx∧dy)作用在这两个向量上时,它测量的是这个平行四边形的“带符号面积”。不仅仅是面积大小,还包含它的方向——正向还是反向。交换输入向量的顺序,会使结果的符号翻转,因为这会改变约定的方向。
这种特性很有用,因为它让我们能够在流形的局部检测方向性(orientation)。
那么,这个符号 ∧ 是什么?它叫楔积(wedge product),它让我们可以用一阶微分形式作为构件,构造出更高阶的微分形式,比如二阶形式。

可以这样理解:就像两个向量相加会得到一个新向量,两一阶微分形式做楔积会得到一个能处理两个向量并返回标量的数学对象——但它是以反对称的方式处理的。
既然二阶微分形式测量的是定向面积,那么基向量自身与自身的楔积结果是什么?——dx∧dx=0。
我们来看 dx∧dy 作为二阶微分形式作用在切空间基向量 v,w上的结果。如果方向与楔积的顺序一致(先 dx,后 dy),结果是 +1;

如果顺序反过来(dy∧dx),结果是 −1-。
现在我们把二阶形式推广到 n 维的情形。二阶微分形式是一个反对称双线性映射,它接受两条切向量,返回一个数。

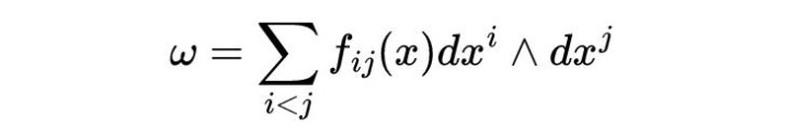
在局部坐标x^1, x^2, ..., x^n 中,二阶微分形式的基由所有一阶微分形式的楔积组成:

这样的基共有

个。一般的二阶微分形式可以写成

类似地,我们还可以推广到m 阶微分形式(m-forms)在 n 维空间的情形。

它是一个完全反对称的 m 线性映射,接受 m 条切向量,返回一个数。

每个 m 阶形式都可以写成 m 个一阶微分形式的楔积,比如

m 阶形式的基数目是

最后总结一下,这里有一张表格,概括了全部内容
